Himan Abdollahpouri (Northwestern University), Jesse Anderton (Spotify), Zahra Nazari (Spotify), Ben Carterette (Spotify)

- The recommendation platform defines a fair outcome in terms of what percentage of recommendations should be allocated to what item group
- It is important to ensure minimum deviation from the users' preferences

Popularity Fairness
- Making sure items from different popularity groups (Head, Mid, and Tail) are fairly represented
- The system defines what is fair

Ratio of different item popularity groups in recommendations:
Ratio of different item popularity groups in user's profile:

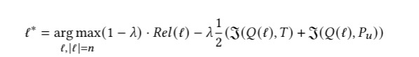
Method 1 (Target): maximizing target calibration without considering users' tolerance:

Method 2 (Target+U): maximizing target calibration and user calibration simultaneously:
Evaluation Metrics
- Precision
- Target Miscalibration
- User Miscalibration
- Coverage
Experiment Settings
- Data: MovieLens 1M
- Three item popularity groups: Head, Mid, and Tail
- Two target distributions: [0.2,0.6,0.2], [0,0.5,0.5]
Results for Target= [0.2,0.6,0.2]
![Precision, target calibration, user calibration, and item coverage for target [0.2,0.6,0.2]](../images/posters/262-lambda_analysis.jpeg)

![Ratio of item groups in recommendation list for target=[0.2,0.6,0.2]](../images/posters/262-item_groups_barchart.jpeg)
Results for Target= [0,0.5,0.5]
![Precision, target calibration, user calibration, and item coverage for target [0,0.5,0.5]](../images/posters/055-lambda_analysis.jpeg)

![Ratio of item groups in recommendation list for target=[0,0.5,0.5]](../images/posters/055-item_groups_barchart.jpeg)
Questions:
- What are some other ways to incorporate the system's target distribution into account ?
- How can the defined target distribution be modified such that the final recommendations still are close enough to that target yet the user satisfaction is less affected?





